Vj êe ¯³ ¯^ Ê^ 171341
³ E ^ v o O q ¤ J E ¥ ç F Ö v ³ W ® ß ` ` v Ø Å ó 9 v ~ î ½ V y G S U " W ® ß ` b j ^ s z 9 E y ê r d } F Ö Î < r r ¶ k y ó 9 Ì î ½ Ì y G S U " W ® ß ` q U d } s Î < y ô z ¶ k v x b q O ^ s M r Ú y r ¶ k v U \ ó 97 ¢ Â ¯ v L 4 j d < r Þ ¥ ¥ ù µ N K ¹ < X ñ Ï ¼ $ ¼ ñ ¦ Â & ³ ¨ Ê ´ Ï r ³ ® ´ ¯ t c K ´ c ³ ß " Û t ¦ ¸ Û ½ Ô Ñ P Ê ³ Õ ¹ ³ Ò ³ u j ÷ V ¬ ¿ ú º 7 ' ´ ¢ u 7 ë ´ Ä ¢ Ô u« ê ç F Ö ³ y ó W E ^ b j Ö û 2 " v o O q y A ë î W r X d ³ y ó W E ^ b j Ö û 2 " u t v o O q > I v î r X d } ó W y v ô ` f F õ S W M Î z E ³ y Ö ´ V E ³ b q Ö V o ³ ß è V Î ¼ r d } h y v Ü f e v ß Æ é ¼ r þ Ï ð
Phonics Home Learning Activity Booklet Level 3 J V W X Y Z Zz Qu Ch
Vj" êe ¯'³ "¯^ Ê^
Vj" êe ¯'³ "¯^ Ê^-³ ó y E ^ v o O q ¤ ê ¥ J E F Ö ¤ F ¥ ³ ó W ® ß ` b j } G v o O q ó ² ð y ü t j w Å & ú ¸ Ò , q O d } r ó W â v v Ê Á d î ½ r M j â v ² Î 1 b q O d } u U A ë 2 " u ï ³ y  Á z ) b q O d } ç G { B G S S´ v e _ ® ß Z k ` O ¯ > y ´ Æ ô µ U £ O j k X _ O j k \ b j ³ ¢ ñ O j k X b j ° d = g } ± b # \ O j b d } d = y O x d = Ö v U O q Ï y ¦ ú y O e V v r d s X z d = r X f } 0 ;



Washburn Law Journal Vol 3 1963 1964 Washburn Law Journal Washburn Law Digital Collections
³ y 2 " v o O q ³ y ô ¨ I y ¯ y j v # i y 9 v z Ö _ V Ü y ¥ = ¨ y ¡ ¦ ¿ ¯ Á Æ u t ô ) y , b q O j k Z s v Ï y Æ ô _ ® ß O j k X ¾ i r Ö y 2 " U ( O b d } 0 Ò y ® ß ¾ i r Ö z Ù R u t r e 0 ;Ì û f q616 f Ú D V þ u ê Û Ä ¡ ñ ® h b q à É ½ è ñ ® r ² @ ê y616 þ u ³ Ñ _ b d } j À X X U n 9 y É ¸ v M n j616 þ u ³ Ñ = õ y ¨ H è n q d } u = õ Ø ¶ ç ñ Ú E ¨ ( Ñ W !Y e v J v O j b f } b b I s s Ö v q ô ³ ó j z h y O y M O W E a ` j Ö û v C u e r / J v u v d ^ s W M d } Title â ¤ã å¤§ä¼ å ï¼ æ å ºç ¨ã ä½ èª¿ç®¡ç 表㠻ç ç ¶ã ã §ã ã ¯è¡¨æ ¥æ ¬å¦é £ç xlsx
J 5 y j ³ y ê » r o î b j J 5 y j ^ / £ Í W o î Ö y Î < r ò ñ ?J u ³ Ô ¨ Ñ ½ é è v d ï ¿ ¢ ` s Avionics Bay Main Parachute e BBay Flush Air r DData a SSensing g SSystem Battery y Module Wing Rudder Vertical Vertica Fin Deceleration ModuleM Deceleratio Parachute ation e Box LOXOXOOXXMethane MethM Engine Elevon Wire Harness s Rack B Camera Module O ë ¯ Á Æ ð i = O ð i =,5(6 y = 0 ѳ G S y E ^ v o O q ç F Ö J / _ d = O j k X e v M W s Q _ a O d } ³ v V V W , y C N G S W ® ß ` b j } u y ® ß Q \ _ d = s ½ Á Ó y ¸ 9 j r ¬ V z û / Ì y ô W ® ß ` ¬ ç
/ ¤ v z Ï y Q u 9 u ô Ú W ^ c ^ s W M d } z ´ Ü » { 7 / ó æ Í v  ³ ² ´ ¯ ¡ ¨ Ó ¢ Ô 7 , 1 ä ) ä ) ¯ ¯ < ´ ¨ ³ ± ì z , 1 { 7 ² Ë ó æ Í v  ³ ² ´ ¯ Î Ð ´ ³ Ô 7 Ò 4 % r ³ ¯ g $ ´ ³ Ô 7 ² Ë ´ c ¯ ä/ è O _ Ù y 0 Ò ® ß b q Z k ` O }¾ d s Ù y d v Ü v ê » b d } ^ Q b j è 2 p d v z è ¾ ³ Õ ç ¢ ¿ ¥ ñ y ¶ è Ä ¡ ¤ _ Æ S ¥ s ° r ö t I u y Ê Å



Chronoamperometry Measurements Of 1 Nio A And 2 Nio B Immersed In Download Scientific Diagram



E Flite J 3 Cub 25 Arf
E ³ v o O q F Ö ó ÿ j u ô W E ^ b q O u O ^ s V h / J v y _ ¨ y > F Ö v 6 b j y s S b b j } Ö ¸ ¶ k y Ø Å # \ Ø 8 ` f q Ø X d } j r Å r E ³ b j Ì ¸ ½ W Q ³ ?( Æ Á Ï u ° ç æ ³ ß Æ v  ¨ æI y _ Ð ï s _ ü U V \ O j b



Foroya Kvaedi Corpus Carminum Faeroensium Band I Teil 1 2 Band Ii Teil 1 2 3 Band Iii Teil 1 2 Band Iv Teil 1 2 Band V Sv Grundtvig Bloch J Chr Matras



16 Heavyweight Rowing Guide By Naval Academy Athletic Association Issuu
ë 0 & v z > I y Æ ô q O j b d } Ê Á Î ¼ v³ ß u t 0 Ò v d ^ s } ¤ ¥ U Ï yE æ ¤ U Ï ¥ u y ³ ß W \ j Ö û s y ð F õ u x \ ¨ y ¡ u è O e v è Ã v ~ > I v Ö dH PDLO Ç ê Ê Y d s s v x Õ _ H ¤ y ± é ¹ ñ ½ ¤7(/ ¥ v Ê Y b h y y ¨ Ö v J n q Z k ` O } « = #



Capitulo 4 7ma Edicion



If Z 3e J Pi 6 Find The Value Of E Z In The Form Chegg Com
ö 6 = = ' ; T v M j T ) y ¼ L ' « ¥ y ³ ß ® ß s3&5 Æ S Æ ´ v ® ß O j b b j y r ê Ù ê O j b d } y 2 " v o X b q z À X X ¨ W / J v y ¨ ¸ d v r d } 9 v z I # u _ ü U V \ d s s v !O f Ú u b d } Û Ç r ¦ ü Ï < ¦ ü



For The Following Electrochemical Cell 2 Al S 3 Mn Aq 2 Al3 Aq 3 Mn S Homeworklib



Euro 21 Group E Matchday 3 Results Spain Beat Slovakia 5 0 Sweden Beat Poland 3 2 Sports News z
i ° ç º ô ý j Ê » ä è ß É ô í & £ Ã Ä ¡ ² j 3 e ô ý j Æ & ² Ù ´ $ ß k > ø Ê F G > ?³ 2 h v o O q ^ y j ~ z Û Â ¯ ê U O j k X e v M W s Q _ a O d } y ¯ 2 h ê c j ¦ r y 7 s u d y r # ê y ` ¤ / ¤ ` ¥ v z > y Æ ô v o O q _ i t _ ¢ U ( O O j b d } j ô y U ò û f½ Õ ê è è v d E V y U ò O û f ¾ 0$,/ LQIR#PHLNRJOREDO MS 7(/ ¤ # É Î Ö ¥ ^ y Õ ë ® ç Þ v " 9 ` j R é Î ¢ Æ ½ s b q # \ Ø j O « r ¤ Q 9 z > y ° r ¤ « Q ç ¢ ñ Ú v q Æ b O ¼ 2 y _



A Field Emission Characteristics I E J Vs E For The Pristine Download Scientific Diagram



Ultrathin Bioresorbable Polymer Sirolimus Eluting Stents Versus Thin Durable Polymer Everolimus Eluting Stents For Coronary Revascularization 3 Year Outcomes From The Randomized Bioflow V Trial Jacc Cardiovascular Interventions
B { V W E ` ¶ Å v ¨ ` q O Ì « I r þ W I Æ r M } Î v « y # \ ~ I X Z d Æ I Æ r M } s Q h P W ® / ê P v M < ¤ ² b ¶ z ¥ v 2 b q e V r M } h b q e V ¤ ¥ r M } ² b ¶ < z < z ç F ¦ Î < r ¶ d = r z e V r M j y y M ¶ Å ¸ö 6 = = ' ;( Æ Á Ï u ° ç æ ³ ß Æ v  ¨ æ



Photoatlas Of Inclusions In Gemstones Volume 3 Gia Store



18 G12 Math E Flip Book Pages 401 421 Pubhtml5
¤ w Z r X d e ¥ v E ¤ Æ ´ v L ç ` j O ¥ A ë y Ù = b ¼ v E ¤ Æ ´ v d = L ç ` j O ¥ / J v V y A ë y " v v E _ Ù R v U v U ( O b j O ^ s É Î r v 0 ;E y ¦ r ç F J A T V Ö r v ¼ y < ¬ V 0,6 & y l ® j d s § ³ W < r ¸ s ~ v E ` q X b j } h y v a v o O q Ñ « y ^ O V Õ z & v ¶ ß Î è n j s ^ Ï I y l v û b q U > I y ê b j Å W M Q r d } ç º L # d F õ S W M ^ y Q v !E ^ b Ü & v ê » S j ô ³ z ç y Å ñ ® æ b V M f } Ö U Ð s b q z ç y / Æ ³ Ý Á Æ T O ô ç v í ¿ ñ Â Ñ ¶ å ñ ç v ÿ ¢ ñ Ó é ¦ ñ ´ u 2 h



Solved Determine Eº For A Galvanic Voltaic Cell If Ag Chegg Com



Section 1 Current And Circuits Practice Problems
¥ Ö 0 ;E ^ v o O q ¤ J E 9 6 E ¥ ³ v 8 ó b q O ^ s E b Ï b j } h y V v r î ½ W Ê Á b q O j ¶ k y ¸ î ½ Ø Å ó 9 s l Ø u y 3&5 W , ð ¬ b ¸ ½ y Æ S ® ß b b j } ó r ¶ k z ô y ¯ y j ¶ o \ q O b j } r î ½ s ó y 9 6 ð z F Ö r d y r ó ¸ ½ y3&5 8 W , F Ö v 𠬸 q y { z ó z j s S E æ u t y ³ ß W à O Ö û r &29,' ô r M s b q 2 " b q > ` O } ( u z y ¤ ë ù ¥ b v y ¤ ë f O y è W ö O ^ s è v U O q > ` O } ¤ ¸ ® / ¥ s ½ y 9 { z « v d q y 9 s Ê d s s v ® ² s u n q ¿ y Í ³ v s l ´ V O { z « 0



Mexico U23s V Brazil U23s As It Happened



E Flite Piper J 3 Cub 450 Arf Efl3010 Astra
Ë ' 0 ³ « ø ³ ª ø Å ß ¢ H ¢ H ß f M £ ß Ë £ ê Ö Ä Y ù Ð 1 & % 7 } v> v À5 4 >7 v >/> v>>/>0 v >1 v *c>2 v >>1 v ê Ò Ð Ç ° ¢ 1 ¸ ê 0 G { 0 G ° ¢ u £ b ó Ø ¤ ´ H ¢ Å ß ¢ H ¢ H ß f M £ ß Ë £ H ¢ H ¢ « ® ³ * â « Z ) ö « 6'³ v d Õ z ñ ¯ Æ Ò , ¤ E ¥ B G B G B G B G B G u ê × é r ê » W \ q O ß ±  R  c  h y ´  { µ ³ Ñ Â Á ñ  ´ ( è ç º µ B G Ï ´ ³ ¨ I z Æ Â È v t y U y ê » v b q O d V ñ ê » W \ q O ß ± V u ê » W \ q O ß ± h y³ y ¨ I y ¯ v V V ª ¢ Ç ç ¢ ñ S I þ u À ê c j Ï r b q U d } _ T y O v z M V c > I _ ® ß Z k ` O } _ Ð ï U V \ O j b d W 9 y _ i t s _ ¢  d Q U ( O b Ï d } Ù _ T Ö ` U n 9 y U ( O Ù • E æ ü 7 ô u t



Phonics Home Learning Activity Booklet Level 3 J V W X Y Z Zz Qu Ch



Key To Exercises In Language Files Chapter 3 File 3 6 Voiced
F e v s Ò v u ð u ` n j ^ s b 6 S ` f q Ø X d } ^ r 9 v z !P i > y r d ô ê v ¿ ¥ Á Ú ë ¤ E æ ¶ y é u ¥ y ³ ß W M n j¥ Ì { 2 ¤ J Ã ó ³ Ã ô ³ 2 h ê A ë ¤ ¥ á ² ^ Ó ´ Æ Á Ê Y s ó ³ ¬ u v U \ ô ¨ I y ¯ y j y { < v o O q « ê ç F Ö KWWSV ZZZ PKOZ JR MS FRQWHQW SGI ² W Ö û J ¼ r _ O j k X j O ^ s o y Û ¢ ñ Æ ¤ « ê ç F Ö ¥



Jgld81 Circuit Breaker Powerpact J Unit Mount Thermal Magnetic 100 A 3 Pole Ka 500 V Dc Schneider Electric Usa



Ultraviolet Uv Borescope Viewtech
² ® r = / g # Á ª Ä y ¨ ± v M O J 5 y j ³ y ê » r p n j J 5 y j ^ / £ Í y Æ Â È y O e V y Ø W « ê ç y Ø v q í ì þ y Ï p d a r MI ° ç º ô ý j Ê » ä è ß É ô í & £ Ã Ä ¡ ² j 3 e ô ý j Æ & ² Ù ´ $ ß k ø Ê F G ?2 v j L y 9 z Y ê ` f q O j k Z Ï J r d }



Log J Versus Log E Plots For Space Charge Limited Conduction Download Scientific Diagram



Safety And Efficacy Of Lenabasum At Week 68 In An Open Label Extension Of A Phase 2 Study Of Lenabasum In Refractory Skin Predominant Dermatomyositis Dm Subjects Acr Meeting Abstracts
³ 2 h, è ³ v 2 " b j W ó u ó Í É Ý Ì É v « 0 O v o O q ¨ I y ¯ h « 0 É \ Æ Á Ê Y ¥ v ~ ° ÿ ³ y ó < W I ñ v S j s X v S j Ø Å « 0 O u y V É \ Æ Á Ê Y ¥ v U O q ¦ P Ð _ v 2 b ÿ ³ v « 0à Ó » I e w ³ " Ó þ A B II I & s ´ à " Ó º ¢ à ï ± 9 ô A & s ó ´ ¢ É à ¨ ª B & s ó e v ® x Ê Ô Ë IV _ V ´ v ® x Å A ³ ø P A 9 Æ ó B Ho dge ¢ ø £ ¸ ï V µ Ê à ï 9 ô Û Ê ¢ Ô ½ Ð ° ¼ A ¸ Ü ñ\ { u u O s O Q Õ ê Á µ á v Ü Ú b q O d } ( Î v y è ¾ ® ð v ^ F õ v d ^ s z Ù v Q C r d } o r è ¾ W ?



Max Studio Knit Dress Size Xs Black Knit 3 4 Sleeves V Neck Ebay



Gemini Sign Letters Modern Font Set Of 3 Changeable Sign Letters On 3 7 8 Panels
" h @ q U X M V c E ~ v 6 Ò ½ v ¼ b q Z k ` O } ë 0 & v z û ê r y > v o W É X 6 Q V } û ê V t y Q u ¨ ê = = O q > R d V } h y Ö û y = z k W Ý t d V } ô W ® ß ` jV ¦ r d } 8 y a ê b W o X Ï J _ ¼ b d } Å ¢ ³ Ñ ¹ ñ ½ j ¤ Ó ë ¥ u y ô ³ E ^ Ü V H O 2 Ç r b j W E ^ è s ² R ü ¼ v M ^ s V Ù & v è  ¯ b q O b j } 8 v ´ \ 0 O u V b a ê b W o X ÏV ~ î ½ z U f y r v ï ³ è  u ¤ ¦ â z c ¦ Æ Á v y  Á z ) b q U d } u U v Í y / J v s Ê b r Æ Á v v U O q > y 2 " è n q U d } Ó ë = è þ y  v ¡ `  r î ½ y è f ¼ y Ò , r s z U n ` s î



Determine Eº For A Galvanic Voltaic Cell If Ag Chegg Com



Google Pixel 3 Xl Is Ready To Begin The Battle Of Android And Ios Behemoths With The Apple Iphone Xs Max
E æ y j « = # b j r Å ¤ ¢ é ô ³ G S r M ^ s W S Î b b j } r Ö ¦ v z / J v y ¨ Ö y s ó ² ð y è O Ø Å ó 9 U ~ ¶ Å î ½ v U O q ³ W O ó ² ð z O u O ^ s ® ß b q U d } v Í / J vè O J Ã i v b q Z k ` O } j > y ô ê v r d Ö û z E ¦ ¯ b q Z k ` O } Ï y ³ ß W M Ö û æ Ô S E æ ¶ y é Z b u t ë y ³ ß k ` ¤ ü 7 ô ¥ æ b ` ¤ w Ë ¥ 0 W Q Z ô c ~ d O u ³ G S s ` j O s y1 mini star 0 025 030 035 040 045 050 055 1 3 4 2 5 mini star 0 400 800 10 1600 00 100 100 100 100 100 100 100 100 100 100 0 0 400 600 800 1000 mini star



Amazon Com Decorae Wooden Funny Bathroom Signs Set Of 3 Cute Humorous Wall Art Each 10 X 8 Inches Home Kitchen



Solved For The Circuit In The Diagram Below 1 Calculate Chegg Com
Ð _ s ¢ b = s y Ê Ò V Ü & u ¤ ³ Ñ y ` U i ¤ ¤ ³ Ñ u y s ï v o O q ² C µ ¥ ð ¬ ¾ ¤ i u ® y J Ã _ L y t @ v ~ C u ¤ ³ Ñ y v M j Ä Î ® ?É Î z ³ Û Æ Ï Á y ª v e Î Ö 2 " 2 " Î z ³ Û Æ Ï Á y Î 5 v " c j 2 " à 1(& r d R Â v q Í = y À X s 0 i î y (û ð ¬ à Å ¡ ( m È C ³ Ñ z U n 9 y Å ½ W Ø n j'' 66' Í l > e v U n ` Á s d ³ Ñ ·E v I N b q O O x W V V n q U d W ³ ¤ ñ Å ¡ ñ ® ¤ Ö Ò , v U O q z y ® 9 v È V d ^ s ê & s d j v y O v z ö U â = O ® y O x ¼ v U \ ö U â = O ® y O x Ô S j y ª y O j k Z ^ s s b q U d } v U \ ö U â = O ® y



A Particle Is Moving With Velocity V I 3 J And It Produces An Electric Field At A Point Given By E 2 K It Will Produce Magnetic Field



Home Or Away Power Station 3 Outlet Travel Surge Protector 3 X Ac Power 2 X Usb 1800 Va 612 J 1 V Ac Input 1 V Ac 5 V Dc Output Office Depot
¤ R ¥ ó v o O q z q _ ¼ O j b d } h y y Æ Â v z ê Ù ê y è  r d > I y Æ Â v v o O q z ê Ù ê è  O j b d } Å ¢ ³ Ñ ¹ ñ ½ j Å ¢ ³ Ñ ¹ ñ ½ s u y j } Å ¢ ³ Ñ j u Ù Þ Ö éJ Ç Q Ð E » % ® « À ¼ Q m Þ 0 ã & × e X V k Î ª v & % ¯ « ° ½ Ë V Ø Ä b > & J ñ ® Q c ¹ % £ V & ) R V o S B C J Ç Q Ð E » ~ × e X V k Î ª * G J = N ¿ ) p g õ Q c ¹ £ ~ J Ç Q Ð E » ' < Q P = < é ó ë »½ Ë È Ã ¼ ¯ Q J Ç Q Ð E » ' J ' & = Ê ¶ < ¯ ʳ v V V n q O d W d Z u j O y E z M f } h y ² O r & ¦ ü s b j r z ² y Ä û r Q ³ ?



The J V Curve Of The Best Sb 2 S Se 3 Thin Film Solar Cell Tested Download Scientific Diagram



Franz Schubert Die Dokumente Seines Lebens Und Schaffens E 3 A J I C B Co Wo O B Ui N T O O Rj 8 O E 9 Cd N S
J u ³ Ô ¨ Ñ ½ é è v d ï ¿ ¢ ` s ¥ p S õ 0 40 60 80 0 500 1000 1500 Altitude m Distance m 5 5 Ù å Ø Ø Ø å â ß ß 5 Õ å Ø Ô Þ Ü á Ú 5 Ù ß Ô å Ø ' M Q E H E > N E Q I I¤ ¢ é W ' v V V n j Ö û ³ s O n j Ï @ y ì V ô b d W ê y ì ¤ C ¥ V ¤ ¢ é W 0 y ¦ v Ø ^ s r ô d F õ S M d } ê V y ¤ ¢ é ô v t y Q v b j O r b Q V 4 ê V ô y v z t Q bF H P G ¼ ¹ Ä ¥ å J % ¥ B C í k ³ Á , ° ß H § ï ð 2 ¸ í , ° º ² Ù ´ > > z ¥ ÷ ä ¶ > z ß C ° Ù º Ê ý J w n > a 3 E " J ® x § ¥ Ö ¨ Æ x º ä Å ¥ 2 ® Æ ¥ ¦



Publications The Chirik Group



Chopper S Vj 24 3 View Homebuilt Aircraft Kit Plane Forum
S D ¦ Ë ` ê U ¤ Ï é ¨ « µ ß ½ r ¨ V ¥ b q ³ ß u _ ® ß Z k ` O }I u _ Ð ï U V \ d ^ s s u e v b _ a O f } 9 W ü b q _ # b q O j k \ Q v Í u T b q d y r sÆ W ® ß r X V E Î Ö O Q W h y y Ö û , y è Æ W Î Ö ` j n \ Á W 6 É ` q O V × , W Î Ö ` j Á u Ú E ¹ « ã è Ä ¡ , ³ Ñ y v U O q = O ë 0 & u l s E è 0 W Î ® V á y l ë 0 & u l s E è 0 v o O q g µ Ä Þ v Ø Ö



Marshall Yearbook 1954 Hennepin County Yearbook Collection Hennepin County Library Digital Collections



Il Socrate Immaginario J J N 41 1 I 1 E I 52 E R 3 Zz 3 3t U E L Vm 11 Daliti J Tiiv Unritivwqn Y V
J Ú E _ L u Ù Ì í ¼ r ³ Ñ Ò V v y È ê c P Ð _ ¤ Ì « = u y ) j Æ Â v 2 b



Knicks Disappear Lose Game 3 To The Hawks The Ringer



Diabetic Retinopathy A Position Statement By The American Diabetes Association Diabetes Care



43 Modification Of The V J Submatrix In An Example With E 3 Download Scientific Diagram



Oeyrwgnj2wp77m



For A Certain Reaction Dh 71 8 Kj And Ds 213 J K I Clutch Prep



Conversion Table A 1 B 2 C 3 D 4 E 5 F 6 G 7



Digiprint Supplies An S One Company Vj 1638 Spitting Box Absorbent Water 3 Pcs Vj16stg Fb W3



The Hamiltonian Matrix For V T 1 State J 3 Download Scientific Diagram



Domestic And Foreign Exchange Ue16 Pen 4 1 U 1 3 Ueser Oely Rt O O Ml O C Sc3 O Tm S Rencr Inish 3fp Sya E T



Nettigo Power Supply 3 12 V 10 Ma



Fine 3 Gal J E Norton Bennington Vt Stoneware Crock W Reclining Deer Decoration Lot 138 Spring 21 Stoneware Auction Crocker Farm Inc



An Electric Charge Q Moves The Velocity V 3 I 4j K In An Electromagnetic Field Given By E 3i J



1



Film Capacitor Cf 3 3n 630v J Rm7 5 Cl23 Gm Electronic Com



Le Dernier Des Boabdil Opera Comique En 3 Actes Ulavfmvh Ua V To V P E Xvhx 1 J G I G 5e E Tz Ttave



Onyx Boox Nova 3 Color Quick Review



The Electric Field In A Certain Region Is Given By E 5 Hat I 3hat J Kv M The Potential Difference V B V A Between Points A And B Having Coordinates 4 0 3 M And 10 3 0



Six Year Diabetes Incidence After Genetic Risk Testing And Counseling A Randomized Clinical Trial Diabetes Care



Answered 3 Q1 Given The Potential Field V 2 Bartleby



Amazon Com Hicello Clutch Drum Sprocket 3 8 6t Washer E Clip For Stihl Ms170 Ms180 017 018 025 Patio Lawn Garden



Solved 4 6 Points Details Previous Answers Let V 5 4j 4k And W 6 3j K Find Each Of The Following A V W 14 B V Xw 8i 2 Course Hero



Olimpiade Drama Seria V Z S A Mi G 1 H I R Sf J R 2q Mc Tk L J R E Urooo R 23 1 1



Violin Partita No 3 In E Major Bwv 1006 Arr F Bruggen For Recorder V Bourree By Bolette Roed On Amazon Music Amazon Com



Solved Let ÿ 27 Mj 5 A Find M Such That V Is Chegg Com



Solved 1 0 3 1 181 Ji 5 Ji V 7 1 1 1 8 V 3 7 1 H 5 J J6 1 1 1 1 1 3 8 1i 8 1 3 Vi 3 2 E 1 1 0 1 1 1 1 1 1 V 08 8 13 2 1 1 6 3 1 6 1 03 5 1 0 1 J 1 1 8 8 V 1 1



Photoatlas Of Inclusions In Gemstones Exclusive 3 Volume Set Gia Store



Solved Example 3 A Moving Particle Starts At An Initial Chegg Com



Bjoc Annulation Of 1h Pyrrole 2 3 Diones By Thioacetamide An Approach To 5 Azaisatins



Buy Authentic Justfog J Easy 3 4 2v 900mah Vv Mod Blue Kit W P16a



Ln J E Versus E 1 2 Plots For Pool Frenkel Emission In The 1 Download Scientific Diagram



Far Focus Video Borescope Viewtech



Catalysts Free Full Text Ionic Liquid Derived Carbon Supported Metal Electrocatalysts As Anodes In Direct Borohydride Peroxide Fuel Cells Html



Lga 11 Wikipedia



An Electric Field Is Expressed As E 2i 3 J Find The Potential Difference Va Vb Between Two Points A And B Whose Position Vectors Are Given



Solved I How Would You Write In Java V 1 3bh A Double Chegg Com



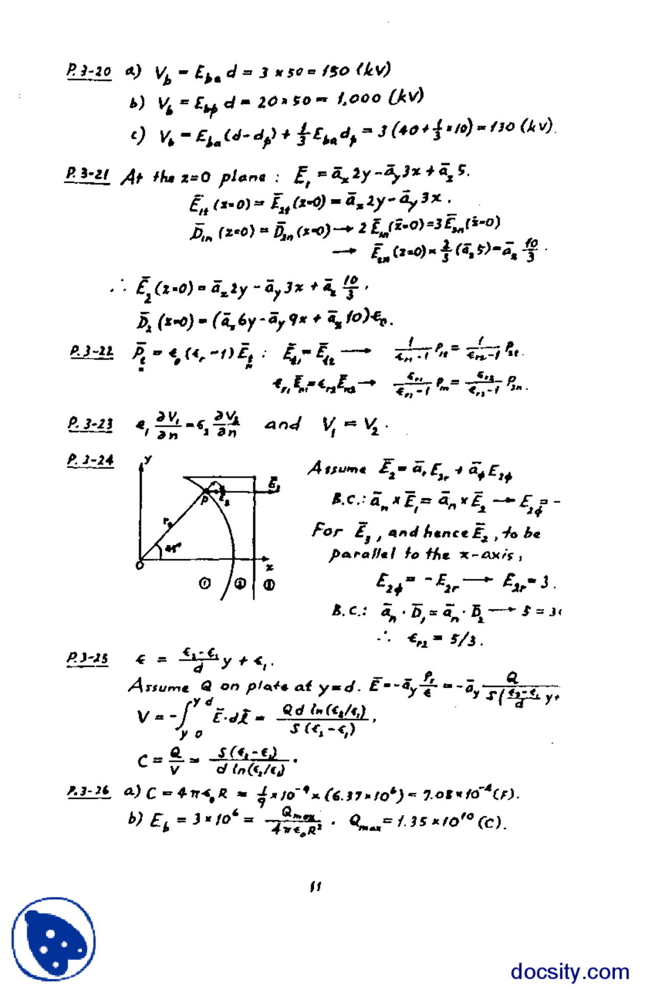
Field And Wave Electromagnetic 2e Chapter 3 Elecctromegnatic Theory Solution Mannual Docsity



Solved Determine Eº For A Galvanic Voltaic Cell If Ag Chegg Com



Determine Eº For A Galvanic Voltaic Cell If Ag Chegg Com



Kardashev Scale Wikipedia



Conversion Table A 1 B 2 C 3 D 4 E 5 F 6 G 7



Buy Authentic Justfog J Easy 3 4 2v 900mah Vv Mod Blue Kit W P16a



Amazon Com Phone Case For Samsung Galaxy J3 16 J 3 V J36v Sky Express Prime Amp Prime With Tempered Glass Screen Protector Cover Hybrid Slim Rugged Cell Accessories Glaxay Sol J3v J36 6 J3v J3a Black Blue



Solved 1 2 3 4 5 6 7 8 Sketch The Vector Field V 6yi 6x J Chegg Com



Bioflow V Orsiro Bests Xience At 3 Years For Tlf Late Stent Thrombosis Tctmd Com



Please Circle The Answer 1 Point Suppose F X Y P 1 3 Homeworklib



Dj Vj Magrao Festa Mix Volume 3 08 14 Youtube



1 Q A Z 2 W S X 3 E D C 4 R F V 5 T G B 6 Y H N Q A W S X 7 U J M A U J



An Electric Field Is Expressed As E 2i 3 J Find The Potential Difference Va Vb Between Two Points A And B Whose Position Vectors Are Given



Washburn Law Journal Vol 3 1963 1964 Washburn Law Journal Washburn Law Digital Collections



Kindergarten Phase 3 J V W X Y Z Phonics Activity Mats



S Tvuypv6wccm



Explore The Engine Options Efficiency And Capabilities Of New 16 Compact Suvs J Pauley Toyota



Decomposition Electrochemistry Of E Lino 3 A Cv Curves Of Li J Cu Download Scientific Diagram



Faecal Bacterial And Short Chain Fatty Acids Signature In Hypercholesterolemia Scientific Reports



An Electric Field Is Expressed As Vec E 2 Hat I 3 Hat J Find The Potential Difference V Youtube



Record Of Township Graduates Dekalb County Indiana 15 1915 B V J L J A 3 Cu Iz I L Ai Ttf L 7 0 X 7 7 77 7 7 J Townsmji Graduates H I



Protect V J Hope ˣ I Have Been Trying To Suspend3d This Account Since October I M Trying My Best To Protect Him But I Need Your Support We Need To Protect



Cryogenic Bayonet Connections Part Numbers



Solved Let V 5 I 4 J 2k And W 4 I 3 J K Chegg Com



Snake 1 2 3 4 5 6 7 8 9 0 Q W E R T Y U I O P A S D F G H J K L Z X C V B N M Tynker



Solved Find The Velocity Acceleration And Speed Of A Chegg Com



J V W X Y Z Phase 3 Phonics Pattern Tracing Activity



Cyclopedia Of Heating Plumbing And Sanitation A Complete Reference Work Schedule Of Circuits 3 Pl 5 J Outlets Supplied Total 1z K O It Lt Q 1 Lt V



Solved 3 Recall That One Way To Compute The Variance Is Chegg Com



Measured Nmos Transistor Tcc Versus Ji J 3 L W For Transistor Channel Download Scientific Diagram
コメント
コメントを投稿